60HN: CRE burden at admission and discharge

The all code takes about 10’ to run in parallel.

1 Constants

The folder that contains the data files:

path2data <- paste0(Sys.getenv("HOME"), "/Library/CloudStorage/",
                    "OneDrive-OxfordUniversityClinicalResearchUnit/",
                    "GitHub/choisy/60HN/")

The name of the file that contains the discharge dates of the patients that did not provide samples at discharge:

discharge_file <- "60HN - DischargeDate_no_discharge_sample_27Nov25.xlsx"

The name of the CRF data file:

CRF_file <- "16-12-2025-_60HN_PATIENT_P1_Data.xls"

The name of the MALDI-TOF data file:

MALDITOF_file <- "60HN_ID_MALDITOF_confirmation_20251128.xlsx"

Number of minutes per day:

mpd <- 1440

The number of cores to use for parallel computing:

nb_cores <- parallel::detectCores() - 1
#nb_cores <- 1

2 Packages

Required packages:

required <- c("readxl", "purrr", "dplyr", "lubridate", "magrittr", "tidyr", "msm",
              "rlang", "mgcv", "gratia", "alluvial", "furrr")

Installing those that are not installed yet:

to_install <- required[! required %in% installed.packages()[,"Package"]]
if (length(to_install)) install.packages(to_install)

Loading the packages for interactive use:

invisible(sapply(required, library, character.only = TRUE))

Setting the strategy of the furrr package:

plan(multisession)

3 General functions

A tuning of the readRDS() function:

readRDS2 <- function(x) readRDS(paste0(path2data, x))

A function that pastes a vector of dates and a vector of times both in character format and returns a dttm vector:

as_datetime2 <- function(date, time) {
  as_datetime2_ <- function(date, time) {
    if (is.na(date)) return(NA)
    if (is.na(time)) time <- "12:00:00"    # if only time is missing, we fix it to noon
    as_datetime(paste(date, time))
  }
  map2_vec(date, time, as_datetime2_)
}

A function that converts a column col of a data frame x into a list-column (assuming that all the other columns have the same values across rows):

col2listcol <- function(x, col) {
  x |> 
    select(- {{ col }}) |> 
    first() |> 
    bind_cols(tibble("{{col}}" := list(pull(x, {{ col }}))))
}

A tuning of the hist() function:

hist2 <- function(x, ...) hist(x, floor(min(x)):ceiling(max(x)), main = NA, ...)

A wrapper that formats the output of the binom.test() function:

binom_test <- function(x, n, ...) {
  if (n < 1) return(c(estimate = NA, lower = NA, upper = NA))
  binom.test(x, n, ...) |> 
    magrittr::extract(c("estimate", "conf.int")) |> 
    unlist() |> 
    setNames(c("estimate", "lower", "upper"))
}

A tuning of the polygon() function:

polygon2 <- function(x, y1, y2, border = NA, ...) {
  polygon(c(x, rev(x)), c(y1, rev(y2)), border = border, ...)
}

Utility functions to convert coordinates to make a stairs plot style:

x_transform <- function(x) c(x[1], rep(x[-1], each = 2))
y_transform <- function(y) c(rep(head(y, -1), each = 2), last(y))

A function that returns the indexes of the first values of consecutive NAs of a vector:

firstNA <- function(x) {
  y <- which(is.na(x))
  z <- diff(y) == 1
  if (any(z)) return(y[-(which(z) + 1)])
  y
}

Example use:

firstNA(c(1, 3, 2, 5, 3, NA, NA, 3, 2, 5, NA, 5, 3, 2, 6, NA, NA, NA, 1, 3, 2, 5, 3))
[1]  6 11 16

A function that duplicates the first rows of a series of rows with NA values in the colNA column, and replaces the values of the col_sel columns with values of the row right before:

duplicate_NA_rows <- function(x, colNA = "estimate",
                              col_sel = c("denominator", "numerator", "estimate",
                                          "lower", "upper")) {
  x <- mutate(x, .id = row_number())
  NA_ind <- firstNA(x[[colNA]])
  duplicates <- x[NA_ind, ]
  duplicates[, col_sel] <- x[NA_ind - 1, col_sel]
  duplicates |>
    bind_rows(x) |> 
    arrange(.id) |> 
    select(-.id)
}

A function that splits a data frame x into a list of data frames according to the presence of missing values in the col column of the data frame:

remove_NAs <- function(x, col) {
  x |> 
    mutate(col1 = as.numeric(is.na({{ col }})),
           col2 = cumsum(col1)) |> 
    na.exclude() |> 
    group_by(col2) |> 
    group_split()
}

Example use:

carbs <- mtcars$carb
carbs[c(8, 20:25)] <- NA
mtcars$carb <- carbs
remove_NAs(mtcars, carb)
rm(mtcars)

A tuning of the msm() function for a bi-state bi-directional case:

bsm <- function(formula, subject, data, ...) {
  output <- do.call(msm::msm, c(list(formula = formula,
                                     subject = substitute(subject),
                                     data    = data,
                                     qmatrix = matrix(c(0:1, 1:0), 2)), list(...)))
  output$call <- match.call()
  output
}

A function that bootstraps estimates of the fitted multistate model msm_fit where f is the function that generates the estimates and N is the number of bootstrap repetitions:

boot_msm <- function(msm_fit, f = qmatrix.msm, N = 1000, ...) {
  msm_fit |>
    boot.msm(function(x) f(x)$estimates, N, ...) |> 
    unlist() |> 
    array(dim = c(dim(msm_fit$Qmatrices$baseline), N))
}

A function that generates statistic f estimates from bootstrap samples boot_samples outputed by boot_msm():

boot_stat <- function(boots_samples, f = sd) {
  output <- apply(boots_samples, 1:2, f)
  mat_names <- paste("State", 1:nrow(output))
  colnames(output) <-  mat_names
  rownames(output) <-  mat_names
  output
}

A function that generates a ci% confidence interval from bootstrap samples boot_samples outputed by boot_msm():

boot_ci <- function(boots_samples, ci = .95) {
  ci <- (1 - ci) / 2
  output <- apply(boots_samples, 1:2, function(x) quantile(x, c(ci, 1 - ci)))
  mat_names <- paste("State", 1:ncol(output))
  dimnames(output) <- list(rownames(output[, , 1]), mat_names, mat_names)
  aperm(output, c(1, 3, 2))
}

A function that computes lubridate-formatted durations:

time_diff <- function(x) as.duration(diff(x))

A function that extracts the estimations with 95% CI of the rate of colonization and decolonization per 100 patient days:

bsm_estimations <- function(x, event_names = c("colonization", "clearance")) {
  out <- cbind(matrix(x$estimates.t, 2), x$ci)
  rownames(out) <- event_names
  colnames(out) <- c("estimate", "lower", "upper")
  100 * out
}

Tunings of the alluvial() function:

alluvial2 <- alluvial
b <- body(alluvial2)
b[26] <- NULL
body(alluvial2) <- b

alluvial3 <- function(x, print = TRUE, ...) {
  alluvial2(x[, 1:2], freq = x[[3]], ...)
  if (print) return(x)
}

The following function returns the hazard ratio of the covariates (with 95% confidence intervals) of an output of msm():

HR <- function(x) summary(x)$hazard

4 New data

PT_merged_not_identify_PSpatient <- readRDS2("PT_merged_not_identify_PSpatient.rds")
DT_merged_not_identify_PSpatient <- readRDS2("DT_merged_not_identify_PSpatient.rds")

5 Discharge dates

Loading the discharge dates for the patients who did not provide any sample at discharge:

(discharge_dates <- paste0(path2data, discharge_file) |>
  read_excel() |> 
  mutate(across(`Discharge date`, ~ .x + hours(12))) |>  # setting time to noon
  select(-No, -SiteID, -`Discharge date (2)`))
# A tibble: 96 × 2
   USUBJID    `Discharge date`   
   <chr>      <dttm>             
 1 010-3-1-05 2025-02-23 12:00:00
 2 010-1-1-10 2025-02-24 12:00:00
 3 010-1-1-22 2025-02-25 12:00:00
 4 010-1-1-26 2025-02-28 12:00:00
 5 010-2-1-09 2025-03-06 12:00:00
 6 010-2-1-22 2025-03-06 12:00:00
 7 010-3-1-09 2025-03-06 12:00:00
 8 010-3-1-39 2025-03-23 12:00:00
 9 010-3-1-36 2025-03-17 12:00:00
10 010-3-1-42 2025-03-25 12:00:00
# ℹ 86 more rows

6 CRF data

Reading the data (it takes 1”):

file <- paste0(path2data, CRF_file)

CRF <- file |>
  excel_sheets() |> 
  head(-1) |> 
  set_names() |> 
  map(read_excel, path = file) |> 
  map(~ filter(.x, entry > 1))

6.1 Samples dates

The dates of samples collection at admission and discharge (takes 10”):

dates <- CRF |> 
  extract2("SCR") |> 
  select(USUBJID, SPEC_DATE_ADMISSION, SPEC_TIME_ADMISSION,
                  SPEC_DATE_DISCHARGE, SPEC_TIME_DISCHARGE) |> 
  mutate(ADMISSION = as_datetime2(SPEC_DATE_ADMISSION, SPEC_TIME_ADMISSION),
         DISCHARGE = as_datetime2(SPEC_DATE_DISCHARGE, SPEC_TIME_DISCHARGE)) |> 
  select(- SPEC_DATE_ADMISSION, - SPEC_TIME_ADMISSION,
         - SPEC_DATE_DISCHARGE, - SPEC_TIME_DISCHARGE)

which gives:

dates
# A tibble: 2,000 × 3
   USUBJID    ADMISSION           DISCHARGE          
   <chr>      <dttm>              <dttm>             
 1 008-1-1-01 2025-03-11 16:30:00 2025-03-13 14:40:00
 2 008-1-1-02 2025-03-12 10:00:00 2025-03-14 10:00:00
 3 008-1-1-03 2025-03-12 09:50:00 2025-03-14 09:50:00
 4 008-1-1-04 2025-03-12 13:45:00 2025-03-13 14:55:00
 5 008-1-1-05 2025-03-12 13:40:00 2025-03-28 17:00:00
 6 008-1-1-06 2025-03-12 12:30:00 2025-03-20 14:25:00
 7 008-1-1-07 2025-03-12 14:40:00 2025-03-14 10:30:00
 8 008-1-1-08 2025-03-12 14:30:00 2025-03-17 10:10:00
 9 008-1-1-09 2025-03-12 14:50:00 2025-03-14 09:40:00
10 008-1-1-10 2025-03-12 15:10:00 2025-03-17 14:40:00
# ℹ 1,990 more rows

The number of missing samples at discharge:

(nb_missing_samples <- dates |> 
  filter(is.na(DISCHARGE)) |> 
  nrow())
[1] 96

The number of samples at admission is:

(nb_samples_admission <- nrow(dates))
[1] 2000

The number of samples at discharge is:

(nb_samples_discharge <- nb_samples_admission - nb_missing_samples)
[1] 1904

The total number of samples is:

(nb_samples <- nb_samples_admission + nb_samples_discharge)
[1] 3904

Verifying that DISCHARGE is after ADMISSION:

dates |> 
  na.exclude() |> 
  filter(DISCHARGE < ADMISSION)
# A tibble: 0 × 3
# ℹ 3 variables: USUBJID <chr>, ADMISSION <dttm>, DISCHARGE <dttm>

6.2 Wards

From Huong:

“I just realize that there is one significant factor that would significantly contribute the force of infection (colonization) during hospitalization. This is the fact that patients from the same clinical ward can transmit CRE between one another. Therefore it would be best if the model can include the possibility within-ward transmission versus between within-hospital transmission. The ward type variable can identify the patients in the same ward or not. I think this should be the first priority to add.”

Generating the ward data:

(wards <- CRF$ADM |> 
  mutate(across(starts_with("WARD"), as.numeric),
         ward = paste0(SITEID, WARD_1, WARD_2, WARD_3)) |> 
  arrange(SITEID) |> 
  select(USUBJID, ward))
# A tibble: 2,000 × 2
   USUBJID    ward  
   <chr>      <chr> 
 1 008-1-1-01 008100
 2 008-1-1-02 008100
 3 008-1-1-03 008100
 4 008-1-1-04 008100
 5 008-1-1-05 008100
 6 008-1-1-06 008100
 7 008-1-1-07 008100
 8 008-1-1-08 008100
 9 008-1-1-09 008100
10 008-1-1-10 008100
# ℹ 1,990 more rows

An overview of the number of patients per wards:

nb_wards <- wards |> 
  group_by(ward) |> 
  tally()

nb_wards |> 
  arrange(desc(n)) |> 
  print(n = Inf)
# A tibble: 31 × 2
   ward       n
   <chr>  <int>
 1 010100   157
 2 071110   120
 3 073110   115
 4 130100   110
 5 159100   103
 6 008100   102
 7 156100    90
 8 158001    89
 9 160110    89
10 161100    89
11 159001    83
12 155110    81
13 157110    79
14 157001    70
15 155001    69
16 159010    64
17 158100    61
18 161001    61
19 010001    47
20 010010    46
21 130001    40
22 156010    40
23 160001    37
24 073001    35
25 008001    32
26 071001    25
27 160100    24
28 156001    20
29 008010    16
30 071100     5
31 157100     1

6.3 Enrolled

A function that computes the data for ward occupancy:

ward_occupancy <- function(x) {
  f <- function(...) pivot_longer(..., names_to = "change", values_to = "date")
  bind_rows(f(select(x, -DISCHARGE), ADMISSION),
            f(select(x, -ADMISSION), DISCHARGE)) |> 
    arrange(date) |> 
    mutate(across(change, ~ setNames(c(1, -1), c("ADMISSION", "DISCHARGE"))[.x])) |> 
    group_by(date) |> 
    summarise(change = sum(change)) |> 
    ungroup() |> 
    mutate(occupancy = cumsum(change)) |> 
    select(-change)
}

A function that plots a ward occupancy:

plot_occ <- function(x, y = NULL, ...) {
  x |> 
    first() |> 
    mutate(occupancy = 0) |> 
    bind_rows(x) |> 
    with({
      plot(date, occupancy, type = "n", ...)
      polygon(c(head(date, 2), rep(tail(date, -2), each = 2)),
              c(first(occupancy),
                rep(tail(head(occupancy, -1), -1), each = 2),
                last(occupancy)), col = "grey")
      })
  if (! is.null(y)) abline(v = y, col = "red")
}

where x is an output from ward_occupancy() and y is the date of the last admission of the ward. Putting the ward and dates data together, using discharge_dates for patients who did not provide any sample at discharge (for the latter, the time is set to noon and, for those who have admission and discharge the same day with admission in the afternoon, discharge time is then set to one hour after admission):

(ward_dates <- wards |>
  left_join(dates, "USUBJID") |> 
  left_join(discharge_dates, "USUBJID") |> 
  mutate(across(DISCHARGE, ~ if_else(is.na(.x), `Discharge date`, .x)),
         across(DISCHARGE, ~ if_else(as_date(DISCHARGE) == as_date(ADMISSION) &
                                       DISCHARGE < ADMISSION,
                                     ADMISSION + hours(1), DISCHARGE))) |>
  select(- `Discharge date`))
# A tibble: 2,000 × 4
   USUBJID    ward   ADMISSION           DISCHARGE          
   <chr>      <chr>  <dttm>              <dttm>             
 1 008-1-1-01 008100 2025-03-11 16:30:00 2025-03-13 14:40:00
 2 008-1-1-02 008100 2025-03-12 10:00:00 2025-03-14 10:00:00
 3 008-1-1-03 008100 2025-03-12 09:50:00 2025-03-14 09:50:00
 4 008-1-1-04 008100 2025-03-12 13:45:00 2025-03-13 14:55:00
 5 008-1-1-05 008100 2025-03-12 13:40:00 2025-03-28 17:00:00
 6 008-1-1-06 008100 2025-03-12 12:30:00 2025-03-20 14:25:00
 7 008-1-1-07 008100 2025-03-12 14:40:00 2025-03-14 10:30:00
 8 008-1-1-08 008100 2025-03-12 14:30:00 2025-03-17 10:10:00
 9 008-1-1-09 008100 2025-03-12 14:50:00 2025-03-14 09:40:00
10 008-1-1-10 008100 2025-03-12 15:10:00 2025-03-17 14:40:00
# ℹ 1,990 more rows

Verifying that DISCHARGE is after ADMISSION:

ward_dates |> 
  na.exclude() |> 
  filter(DISCHARGE < ADMISSION)
# A tibble: 0 × 4
# ℹ 4 variables: USUBJID <chr>, ward <chr>, ADMISSION <dttm>, DISCHARGE <dttm>

Computing the dates of last admissions for each ward:

last_admissions <- ward_dates |> 
  select(-DISCHARGE) |> 
  na.exclude() |> 
  group_by(ward) |> 
  group_modify(~ .x |>
                   arrange(ADMISSION) |>
                   last()) |> 
  ungroup() |> 
  pull(ADMISSION)

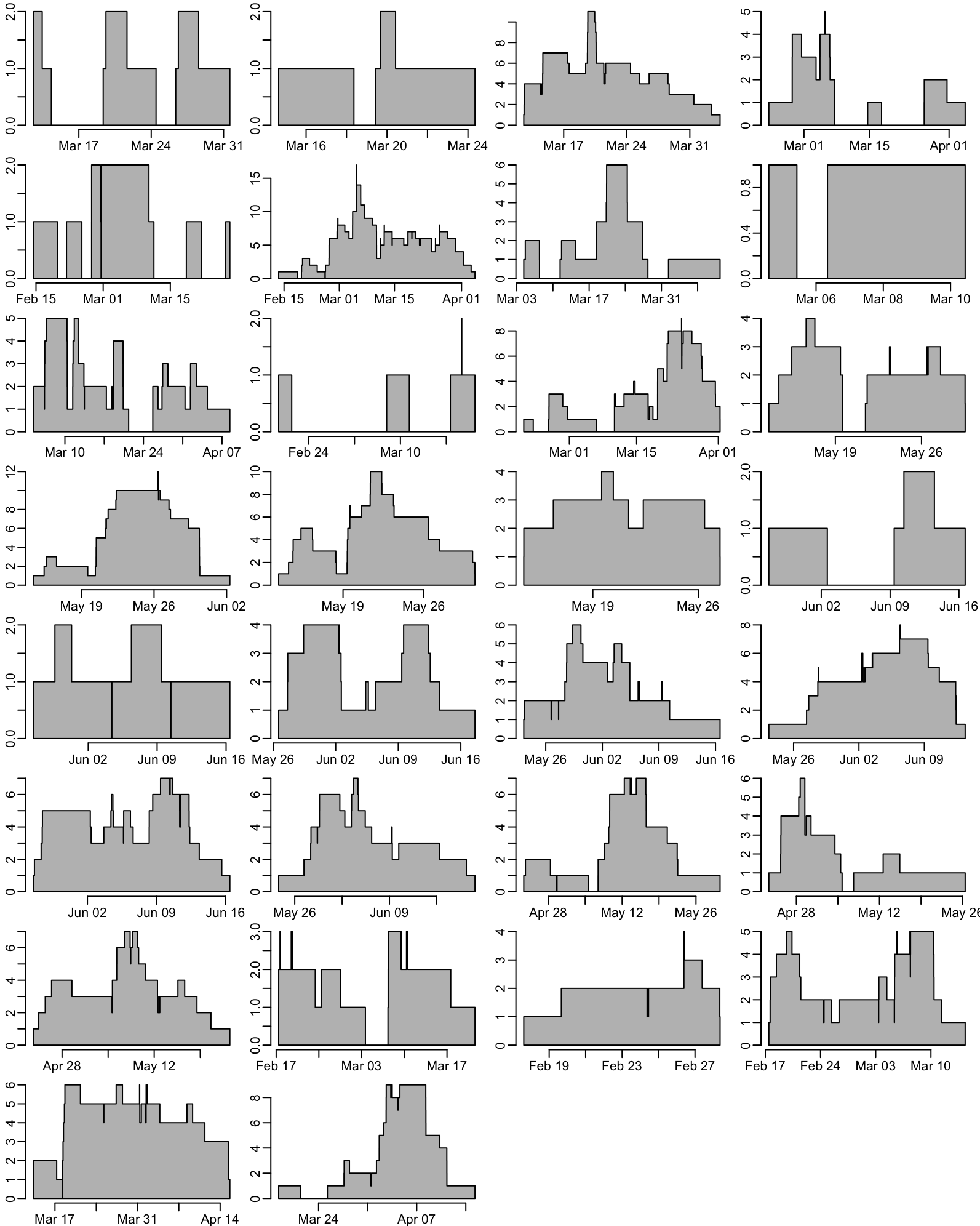
Computing and plotting the ward occupancies:

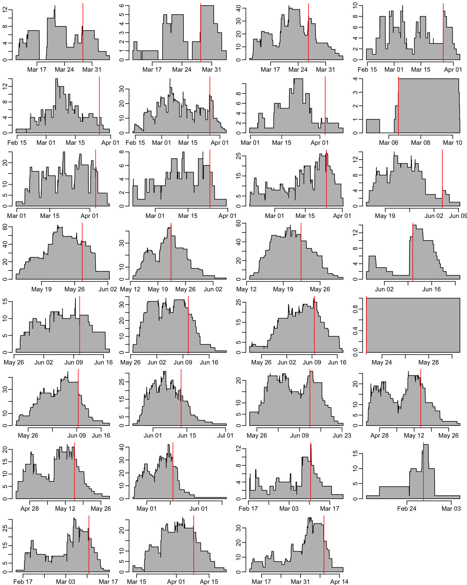
opar <- par(mfrow = c(8, 4))
ward_dates |> 
  group_by(ward) |> 
  group_map(~ ward_occupancy(.x), .keep = TRUE) |> 
  walk2(last_admissions, plot_occ, ann = FALSE)
par(opar)
Figure 1: Number of patients enrolled as a function of time for each ward. The red vertical line indicates the last enrollment.

6.4 Durations

The distribution of the durations of stay in the wards:

ward_dates |> 
  mutate(duration = as.numeric(DISCHARGE - ADMISSION) / mpd) |> 
  pull(duration) |> 
  hist2(xlab = "duration of stay (days)", ylab = "number of patients")
Figure 2: The distribution of the time spent in the ward.

Let’s see whether there any trend on the duration of stay across wards:

the_data <- ward_dates |> 
  mutate(duration = as.numeric(DISCHARGE - ADMISSION) / mpd) |> 
  left_join(nb_wards, "ward") |> 
  select(n, duration)

the_model <- gam(duration ~ s(n), Gamma, the_data, method = "REML") |> 
  fitted_values(tibble(n = seq(min(the_data$n), max(the_data$n), le = 512)))
  
with(the_data, plot(jitter(n, 5), duration, col = adjustcolor("black", .1), pch = 19,
                    xlab = "number of patients enrolled",
                    ylab = "duration of stay (days)"))

color_model <- "steelblue"
with(the_model, {
  polygon2(n, .lower_ci, .upper_ci, col = adjustcolor(color_model, .3))
  lines(n, .fitted, col = color_model)
})
Figure 3: The duration of stay as a function of the number of patients enrolled across the wards.

7 MALDI-TOF data

List of genus to exclude:

genus2exclude <- c("Aeromonas", "Enterococcus", "Acinetobacter", "Cupriavidus",
                   "Pseudomonas")

Reading the MALDI-TOF data:

(MALDITOF <- path2data |>
  paste0(MALDITOF_file) |>
  read_excel() |> 
  select(USUBJID, SampleSchedule, Identification_MALDITOF) |> 
  unique() |> 
  mutate(binom_name = Identification_MALDITOF) |> 
  separate_wider_delim(binom_name, " ", names = c("genus", "species")) |> 
  filter(! genus %in% genus2exclude))
# A tibble: 1,146 × 5
   USUBJID    SampleSchedule Identification_MALDITOF genus        species   
   <chr>      <chr>          <chr>                   <chr>        <chr>     
 1 010-1-1-01 ADMISSION      Klebsiella pneumoniae   Klebsiella   pneumoniae
 2 160-1-1-09 ADMISSION      Enterobacter hormaechei Enterobacter hormaechei
 3 160-2-1-06 ADMISSION      Klebsiella pneumoniae   Klebsiella   pneumoniae
 4 160-2-1-04 ADMISSION      Enterobacter hormaechei Enterobacter hormaechei
 5 160-2-1-04 DISCHARGE      Enterobacter hormaechei Enterobacter hormaechei
 6 010-1-1-06 DISCHARGE      Enterobacter cloacae    Enterobacter cloacae   
 7 010-1-1-01 DISCHARGE      Klebsiella pneumoniae   Klebsiella   pneumoniae
 8 010-1-1-14 ADMISSION      Klebsiella aerogenes    Klebsiella   aerogenes 
 9 160-2-1-06 DISCHARGE      Klebsiella pneumoniae   Klebsiella   pneumoniae
10 010-1-1-03 DISCHARGE      Klebsiella pneumoniae   Klebsiella   pneumoniae
# ℹ 1,136 more rows

The list of positive samples:

(MALDITOF_samples <- MALDITOF |> 
  select(- Identification_MALDITOF) |> 
  unique())
# A tibble: 1,146 × 4
   USUBJID    SampleSchedule genus        species   
   <chr>      <chr>          <chr>        <chr>     
 1 010-1-1-01 ADMISSION      Klebsiella   pneumoniae
 2 160-1-1-09 ADMISSION      Enterobacter hormaechei
 3 160-2-1-06 ADMISSION      Klebsiella   pneumoniae
 4 160-2-1-04 ADMISSION      Enterobacter hormaechei
 5 160-2-1-04 DISCHARGE      Enterobacter hormaechei
 6 010-1-1-06 DISCHARGE      Enterobacter cloacae   
 7 010-1-1-01 DISCHARGE      Klebsiella   pneumoniae
 8 010-1-1-14 ADMISSION      Klebsiella   aerogenes 
 9 160-2-1-06 DISCHARGE      Klebsiella   pneumoniae
10 010-1-1-03 DISCHARGE      Klebsiella   pneumoniae
# ℹ 1,136 more rows

The number of positive samples at admission is:

(nb_positive_samples_admission <- MALDITOF_samples |> 
  filter(SampleSchedule == "ADMISSION") |> 
  nrow())
[1] 388

The number of positive samples at discharge is:

(nb_positive_samples_discharge <- MALDITOF_samples |> 
  filter(SampleSchedule == "DISCHARGE") |> 
  nrow())
[1] 758

The number of positive samples is:

(nb_positive_samples <- nb_positive_samples_admission + nb_positive_samples_discharge)
[1] 1146

Which represents 29.35 % of samples. The distribution of bacteria across the samples:

prevalences <- function(x, nb_positive_samples, nb_samples) {
  x |> 
    group_by(Identification_MALDITOF) |> 
    tally() |> 
    mutate(`% +ve smpls` = round(100 * n / nb_positive_samples, 1),
           `% all smpls` = round(100 * n / nb_samples, 1)) |> 
    arrange(desc(n))
}

Prevalences across all samples:

(prevalences_all <- prevalences(MALDITOF, nb_positive_samples, nb_samples))
# A tibble: 16 × 4
   Identification_MALDITOF        n `% +ve smpls` `% all smpls`
   <chr>                      <int>         <dbl>         <dbl>
 1 Escherichia coli             828          72.3          21.2
 2 Klebsiella pneumoniae        189          16.5           4.8
 3 Enterobacter hormaechei       72           6.3           1.8
 4 Enterobacter cloacae          24           2.1           0.6
 5 Klebsiella aerogenes          10           0.9           0.3
 6 Citrobacter freundii           6           0.5           0.2
 7 Enterobacter kobei             4           0.3           0.1
 8 Raoultella ornithinolytica     3           0.3           0.1
 9 Escherichia hermannii          2           0.2           0.1
10 Kluyvera georgiana             2           0.2           0.1
11 Citrobacter braakii            1           0.1           0  
12 Cronobacter sp.                1           0.1           0  
13 Enterobacter bugandensis       1           0.1           0  
14 Enterobacter roggenkampii      1           0.1           0  
15 Klebsiella oxytoca             1           0.1           0  
16 Klebsiella variicola           1           0.1           0  

The list of all the bacteria in the MALDITOF results:

(bugs <- prevalences_all |> 
  filter(Identification_MALDITOF != "unidentified") |> 
  pull(Identification_MALDITOF) |> 
  sort())
 [1] "Citrobacter braakii"        "Citrobacter freundii"      
 [3] "Cronobacter sp."            "Enterobacter bugandensis"  
 [5] "Enterobacter cloacae"       "Enterobacter hormaechei"   
 [7] "Enterobacter kobei"         "Enterobacter roggenkampii" 
 [9] "Escherichia coli"           "Escherichia hermannii"     
[11] "Klebsiella aerogenes"       "Klebsiella oxytoca"        
[13] "Klebsiella pneumoniae"      "Klebsiella variicola"      
[15] "Kluyvera georgiana"         "Raoultella ornithinolytica"

Prevalences at admission:

(prevalences_admission <- MALDITOF |> 
  filter(SampleSchedule == "ADMISSION") |> 
  prevalences(nb_positive_samples_admission, nb_samples_admission))
# A tibble: 8 × 4
  Identification_MALDITOF      n `% +ve smpls` `% all smpls`
  <chr>                    <int>         <dbl>         <dbl>
1 Escherichia coli           305          78.6          15.2
2 Klebsiella pneumoniae       56          14.4           2.8
3 Enterobacter hormaechei     17           4.4           0.8
4 Klebsiella aerogenes         4           1             0.2
5 Enterobacter cloacae         3           0.8           0.1
6 Enterobacter bugandensis     1           0.3           0  
7 Enterobacter kobei           1           0.3           0  
8 Escherichia hermannii        1           0.3           0  

Prevalences at discharge:

(prevalences_discharge <- MALDITOF |> 
  filter(SampleSchedule == "DISCHARGE") |> 
  prevalences(nb_positive_samples_discharge, nb_samples_discharge))
# A tibble: 15 × 4
   Identification_MALDITOF        n `% +ve smpls` `% all smpls`
   <chr>                      <int>         <dbl>         <dbl>
 1 Escherichia coli             523          69            27.5
 2 Klebsiella pneumoniae        133          17.5           7  
 3 Enterobacter hormaechei       55           7.3           2.9
 4 Enterobacter cloacae          21           2.8           1.1
 5 Citrobacter freundii           6           0.8           0.3
 6 Klebsiella aerogenes           6           0.8           0.3
 7 Enterobacter kobei             3           0.4           0.2
 8 Raoultella ornithinolytica     3           0.4           0.2
 9 Kluyvera georgiana             2           0.3           0.1
10 Citrobacter braakii            1           0.1           0.1
11 Cronobacter sp.                1           0.1           0.1
12 Enterobacter roggenkampii      1           0.1           0.1
13 Escherichia hermannii          1           0.1           0.1
14 Klebsiella oxytoca             1           0.1           0.1
15 Klebsiella variicola           1           0.1           0.1

Let’s compare the prevalences at admission and discharge:

prev_adm_disch <- prevalences_all |> 
  select(Identification_MALDITOF) |> 
  left_join(prevalences_admission, "Identification_MALDITOF") |> 
  left_join(prevalences_discharge, "Identification_MALDITOF",
            suffix = c(" (A)", " (D)")) |> 
  mutate(across(everything(), ~ replace_na(.x, 0)))

The number of positive samples:

prev_adm_disch |> 
  select(Identification_MALDITOF, starts_with("n"))
# A tibble: 16 × 3
   Identification_MALDITOF    `n (A)` `n (D)`
   <chr>                        <int>   <int>
 1 Escherichia coli               305     523
 2 Klebsiella pneumoniae           56     133
 3 Enterobacter hormaechei         17      55
 4 Enterobacter cloacae             3      21
 5 Klebsiella aerogenes             4       6
 6 Citrobacter freundii             0       6
 7 Enterobacter kobei               1       3
 8 Raoultella ornithinolytica       0       3
 9 Escherichia hermannii            1       1
10 Kluyvera georgiana               0       2
11 Citrobacter braakii              0       1
12 Cronobacter sp.                  0       1
13 Enterobacter bugandensis         1       0
14 Enterobacter roggenkampii        0       1
15 Klebsiella oxytoca               0       1
16 Klebsiella variicola             0       1

Their proportion among positive samples:

prev_adm_disch |> 
  select(Identification_MALDITOF, starts_with("% +"))
# A tibble: 16 × 3
   Identification_MALDITOF    `% +ve smpls (A)` `% +ve smpls (D)`
   <chr>                                  <dbl>             <dbl>
 1 Escherichia coli                        78.6              69  
 2 Klebsiella pneumoniae                   14.4              17.5
 3 Enterobacter hormaechei                  4.4               7.3
 4 Enterobacter cloacae                     0.8               2.8
 5 Klebsiella aerogenes                     1                 0.8
 6 Citrobacter freundii                     0                 0.8
 7 Enterobacter kobei                       0.3               0.4
 8 Raoultella ornithinolytica               0                 0.4
 9 Escherichia hermannii                    0.3               0.1
10 Kluyvera georgiana                       0                 0.3
11 Citrobacter braakii                      0                 0.1
12 Cronobacter sp.                          0                 0.1
13 Enterobacter bugandensis                 0.3               0  
14 Enterobacter roggenkampii                0                 0.1
15 Klebsiella oxytoca                       0                 0.1
16 Klebsiella variicola                     0                 0.1

Their proportions among all samples:

prev_adm_disch |> 
  select(Identification_MALDITOF, starts_with("% a"))
# A tibble: 16 × 3
   Identification_MALDITOF    `% all smpls (A)` `% all smpls (D)`
   <chr>                                  <dbl>             <dbl>
 1 Escherichia coli                        15.2              27.5
 2 Klebsiella pneumoniae                    2.8               7  
 3 Enterobacter hormaechei                  0.8               2.9
 4 Enterobacter cloacae                     0.1               1.1
 5 Klebsiella aerogenes                     0.2               0.3
 6 Citrobacter freundii                     0                 0.3
 7 Enterobacter kobei                       0                 0.2
 8 Raoultella ornithinolytica               0                 0.2
 9 Escherichia hermannii                    0                 0.1
10 Kluyvera georgiana                       0                 0.1
11 Citrobacter braakii                      0                 0.1
12 Cronobacter sp.                          0                 0.1
13 Enterobacter bugandensis                 0                 0  
14 Enterobacter roggenkampii                0                 0.1
15 Klebsiella oxytoca                       0                 0.1
16 Klebsiella variicola                     0                 0.1

The list of bacteria absent at admission and present at discharge:

prev_adm_disch |> 
  select(Identification_MALDITOF, starts_with("n")) |> 
  filter(`n (A)` == 0)
# A tibble: 8 × 3
  Identification_MALDITOF    `n (A)` `n (D)`
  <chr>                        <int>   <int>
1 Citrobacter freundii             0       6
2 Raoultella ornithinolytica       0       3
3 Kluyvera georgiana               0       2
4 Citrobacter braakii              0       1
5 Cronobacter sp.                  0       1
6 Enterobacter roggenkampii        0       1
7 Klebsiella oxytoca               0       1
8 Klebsiella variicola             0       1

The list of bacteria present at admission and absent at discharge:

prev_adm_disch |> 
  select(Identification_MALDITOF, starts_with("n")) |> 
  filter(`n (D)` == 0)
# A tibble: 1 × 3
  Identification_MALDITOF  `n (A)` `n (D)`
  <chr>                      <int>   <int>
1 Enterobacter bugandensis       1       0

Let’s now look at changes in colonization status between admission and discharge. The following function prepares the data for an alluvial plot:

make_alluvial_data <- function(x) {
  positive_samples <- x |> 
    mutate(state = 2) |> # the exact value here does not matter
    pivot_wider(names_from = SampleSchedule, values_from = state) |> 
    mutate(across(-USUBJID, ~ ! is.na(.x)))

  dates |> 
    filter(! is.na(DISCHARGE)) |> 
    select(USUBJID) |> 
    left_join(positive_samples, "USUBJID") |> 
    mutate(across(-USUBJID, ~ replace_na(.x, FALSE)),
           across(-USUBJID, ~ c("cleared", "colonized")[as.numeric(.x) + 1])) |> 
    group_by(ADMISSION, DISCHARGE) |> 
    tally() |> 
    ungroup()
}

The following function is a wrapper around the above function and the the alluvial3() function that computes the table of changes and plot the alluvial plot for a given set of bacteria to consider:

plot_changes <- function(bacteria = "all") {
  if (bacteria == "all") {
    the_data <- MALDITOF_samples
  } else {
    the_data <- MALDITOF |> 
           filter(Identification_MALDITOF %in% bacteria) |> 
           select(- Identification_MALDITOF)
  }
  the_data |>
    make_alluvial_data() |> 
    alluvial3(col = "grey", alpha = .8, border = NA)
}

Let’s use this function to look at some example:

plot_changes()
# A tibble: 4 × 3
  ADMISSION DISCHARGE     n
  <chr>     <chr>     <int>
1 cleared   cleared    1122
2 cleared   colonized   524
3 colonized cleared     142
4 colonized colonized   234
Figure 4: The change of colonization status by any CRE between admission and discharge.
plot_changes("Escherichia coli")
# A tibble: 4 × 3
  ADMISSION DISCHARGE     n
  <chr>     <chr>     <int>
1 cleared   cleared    1290
2 cleared   colonized   317
3 colonized cleared      91
4 colonized colonized   206
Figure 5: The change of colonization status by E. coli between admission and discharge.
plot_changes("Klebsiella pneumoniae")
# A tibble: 4 × 3
  ADMISSION DISCHARGE     n
  <chr>     <chr>     <int>
1 cleared   cleared    1739
2 cleared   colonized   110
3 colonized cleared      32
4 colonized colonized    23
Figure 6: The change of colonization status by K. pneumoniae between admission and discharge.

8 CRE exposure

8.1 All CRE

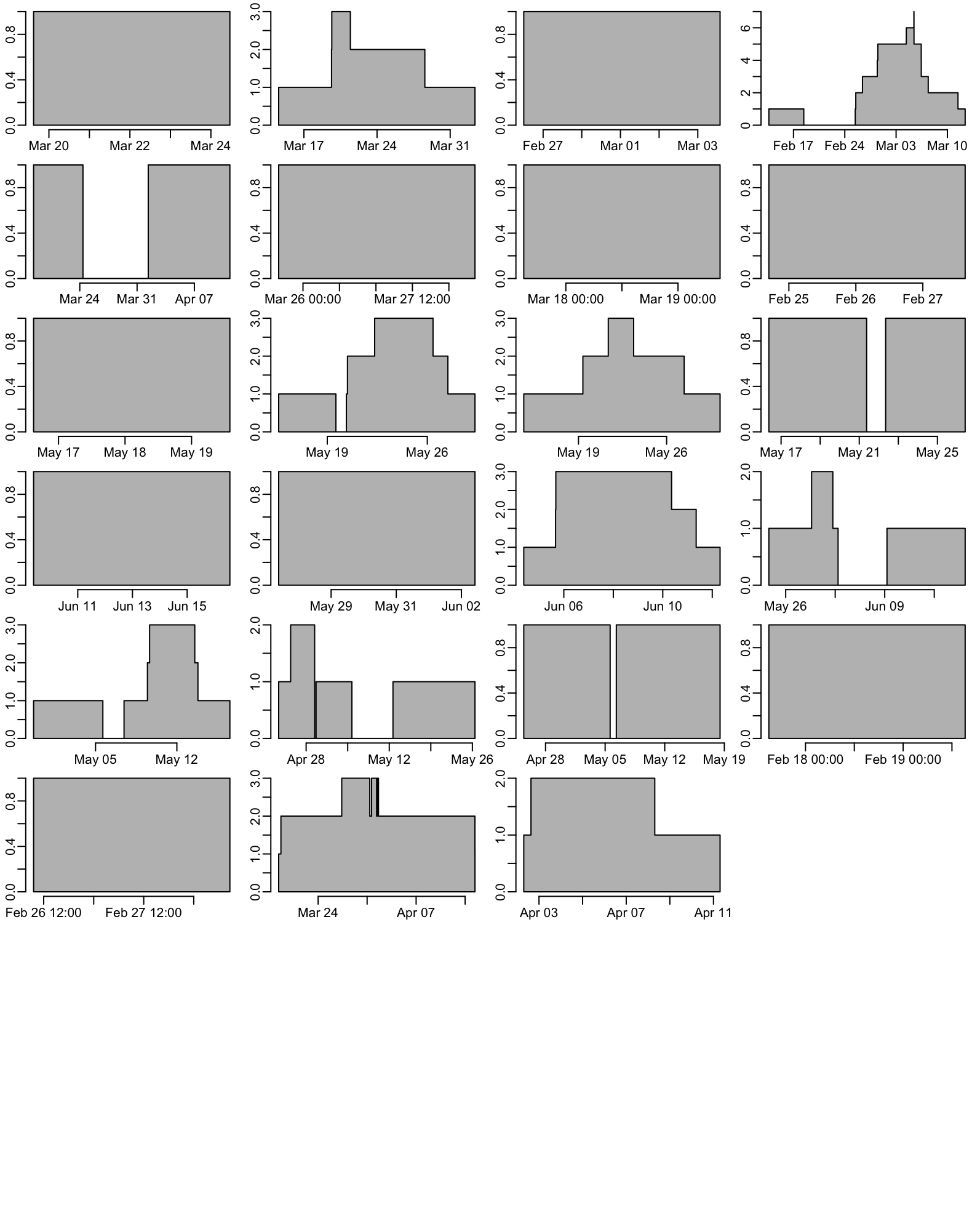
The number of enrolled patient with CRE at admission as a function of time for each ward (takes 1.5”):

opar <- par(mfrow = c(8, 4))

CRE_admission <- MALDITOF_samples |> 
  filter(SampleSchedule == "ADMISSION") |> 
  pull(USUBJID)

ward_dates |> 
  filter(USUBJID %in% CRE_admission) |> 
  group_by(ward) |> 
  group_map(~ ward_occupancy(.x), .keep = TRUE) |> 
  walk(plot_occ, ann = FALSE)

par(opar)
Figure 7: Number of enrolled patients with CRE at admission as a function of time for each ward.

A function that plots the prevalence estimate estimate and lower and upper bonds lower and upper of the confidence interval from a data frame of a ward:

plot_prevalence <- function(x) {
  with(x, plot(x_transform(date), y_transform(estimate),
               type = "n", ann = FALSE, ylim = 0:1))
  x |> 
    duplicate_NA_rows() |> 
    remove_NAs(estimate) |> 
    map(~ with(.x, polygon2(x_transform(date), y_transform(lower), y_transform(upper),
                            col = "grey")))
  with(x, lines(x_transform(date), y_transform(estimate)))
}

Computing the proportions of CRE positives as a function of time for each ward (takes 1.5”):

numerator_df <- ward_dates |> 
  filter(USUBJID %in% CRE_admission) |> 
  group_by(ward) |> 
  group_modify(~ ward_occupancy(.x)) |> 
  rename(numerator = occupancy)

proportion_CRE <- ward_dates |> 
  group_by(ward) |> 
  group_modify(~ ward_occupancy(.x)) |> 
  ungroup() |> 
  rename(denominator = occupancy) |>
  left_join(numerator_df, c("ward", "date")) |> 
  fill(numerator) |> 
  mutate(across(numerator, ~ replace_na(.x, 0)),
         Clopper_Pearson = map2(numerator, denominator, binom_test)) |> 
  unnest_wider(Clopper_Pearson)

Proportion of enrolled patients that are CRE positive at admission as a function of time for each ward (takes 1.5”):

opar <- par(mfrow = c(8, 4))
proportion_CRE |> 
  group_by(ward) |> 
  group_walk(~ plot_prevalence(.x))
par(opar)
Figure 8: Proportion of enrolled patients that are CRE positive at admission as a function of time for each ward.

8.2 K. pneumoniae

Here we have the same plots as for the previous section but for K. pneumoniae only. First the number of enrolled patient with CRE K. pneumoniae at admission as a function of time for each ward (takes 1”):

opar <- par(mfrow = c(8, 4))

Kp_admission <- MALDITOF |> 
  filter(SampleSchedule == "ADMISSION",
         Identification_MALDITOF == "Klebsiella pneumoniae") |> 
  pull(USUBJID)

ward_dates |> 
  filter(USUBJID %in% Kp_admission) |> 
  group_by(ward) |> 
  group_map(~ ward_occupancy(.x), .keep = TRUE) |> 
  walk(plot_occ, ann = FALSE)

par(opar)
Figure 9: Number of enrolled patients with CRE K pneumonia at admission as a function of time for each ward.

Proportion of enrolled patients that are CRE K. pneumoniae positive at admission as a function of time for each ward (takes 1.5”):

numerator_df <- ward_dates |> 
  filter(USUBJID %in% Kp_admission) |> 
  group_by(ward) |> 
  group_modify(~ ward_occupancy(.x)) |> 
  rename(numerator = occupancy)

opar <- par(mfrow = c(8, 4))

ward_dates |> 
  group_by(ward) |> 
  group_modify(~ ward_occupancy(.x)) |> 
  ungroup() |> 
  rename(denominator = occupancy) |>
  left_join(numerator_df, c("ward", "date")) |> 
  fill(numerator) |> 
  mutate(across(numerator, ~ replace_na(.x, 0)),
         Clopper_Pearson = map2(numerator, denominator, binom_test)) |> 
  unnest_wider(Clopper_Pearson) |> 
  group_by(ward) |> 
  group_walk(~ plot_prevalence(.x))

par(opar)
Figure 10: Proportion of enrolled patients that are CRE K. pneumoniae positive at admission as a function of time for each ward.

9 Data preparation

9.1 Minimum data

A function that generates the presence/absence data (coded as 2/1 here) from the output x of the MALDITOF where id is the column of x that contains the patient ID, time_point is the column of x that contains the time point of the sample (e.g. ADMISSION or DISCHARGE), identification is the column of x that contains the bacteria identified by the MALDITOF and bacteria is a vector of characters that contains the names of the bacteria that we want to test the presence of.

presence_abscence <- function(x, id, time_point, identification, bacteria) {
  x |> 
    group_by({{ id }}, {{ time_point }}) |> 
    group_modify(~ col2listcol(.x, {{ identification }})) |> 
    ungroup() |> 
    mutate(state = map_lgl({{ identification }}, ~ any(bacteria %in% .x)) + 1) |>
    select(- {{ identification }}) |> 
    arrange({{ id }}, {{ time_point }})
}

The following function adds the samples that were tested negative to the output x of presence_abscence() where y is the samples dates as generated in Section 6.1.

add_negatives <- function(x, y, id, time_point) {
  tp <- as_name(enquo(time_point))
  y |> 
    pivot_longer(- {{ id }}, names_to = tp) |> 
    left_join(x, c(as_name(enquo(id)), tp)) |> 
    mutate(across(state, ~ replace_na(., 1)))
}

A function that selects patients from x who have samples from at least 2 time points:

select2time_points <- function(x, id) {
  id_with_2obs <- x |> 
    filter_out(is.na(value)) |> 
    pull({{ id }}) |> 
    table() |> 
    is_greater_than(1) |> 
    which() |> 
    names()
  
  filter(x, {{ id }} %in% id_with_2obs)
}

where id is the column of x that contains the patients IDs. A function that combines state and time data:

state_time <- function(state, time, id, admission, discharge, time_point) {
  time |> 
    mutate("{{discharge}}" := as.numeric({{ discharge }} - {{ admission }}) / mpd,
           "{{admission}}" := 0) |> 
    pivot_longer(- {{ id }},
                 names_to = as_name(enquo(time_point)), values_to = "days") |>
    left_join(x = {{ state }}, y = _,
              c(as_name(enquo(id)), as_name(enquo(time_point))))
}

The following function puts the 4 above functions together:

msm_data <- function(x, y, id, time_point, identification, bacteria,
                     admission, discharge) {
  x |>
    presence_abscence({{ id }}, {{ time_point }}, {{ identification }}, bacteria) |> 
    add_negatives(y, {{ id }}, {{ time_point }}) |> 
    select2time_points({{ id }}) |> 
    state_time(y, {{ id }}, {{ admission }}, {{ discharge }}, {{ time_point }}) |> 
    select({{ id }}, state, days)
}

where

  • x is the MALDITOF data as read in section Section 7
  • y is the dates of samples collections as generated from the CRF in section Section 6.1
  • id is the unquoted name of the patient ID variable that should be the same in x and y
  • time_point is the unquoted name of the variable of x that contains the time point information (for example ADMISSION and DISCHARGE)
  • identification is the unquoted name of the variable of x that contains the name of the identified bacteria
  • bacteria is a vector of quoted names of bacteria we want to generate the data for
  • admission is the unquoted name of the variable of y that contains the dates of admissions
  • discharge is the unquoted name of the variable of y that contains the dates of discharge

The output of this function is a data frame with 3 columns:

  • the id patient ID
  • the state variable, with 1 and 2 for not “not infected” and “infected” respectively
  • the days columns where zeros refers to admissions and non-zero values are the times of discharge in days counting from admission

A tuning of msm_data():

msm_data2 <- function(bacteria) msm_data(MALDITOF, dates, USUBJID, SampleSchedule,
                                         Identification_MALDITOF, bacteria, ADMISSION,
                                         DISCHARGE)

9.2 Covariates

The following function adds to the output x of the msm_data() function the covariate otherCRE that tells whether at admission the patient had a CRE other than the set of bacteria:

add_other_CRE_at_admission <- function(x, bacteria) {
  MALDITOF |> 
    filter(SampleSchedule == "ADMISSION",
           ! Identification_MALDITOF %in% bacteria) |> 
    mutate(otherCRE = TRUE) |> 
    select(USUBJID, otherCRE) |> 
    unique() |> 
    left_join(x = x, y = _, "USUBJID") |> 
    mutate(across(otherCRE, ~ replace_na(.x, FALSE)))
}

This function relies on the MALDITOF data frame generated in section Section 7. The following function adds to the output x of the msm_data() function the ward ID covariate:

add_ward <- function(x) left_join(x, wards, "USUBJID")

This function relies on the wards data frame generated in the section Section 6.2. The following function adds to the output x of the add_ward() function the covariates estimate, lower and upper that are the temporal means of the proportions of enrolled patient that are CRE positive in the ward for the duration of the study:

add_CRE_prevalence_in_ward <- function(x) {
  ward_means <- function(y) {
    total_duration <- time_diff(range(y$date))
    y |> 
      mutate(weight = time_diff(c(date, NA)) / total_duration) |> 
      summarise(across(c(estimate, lower, upper),
                       ~ sum(replace_na(.x, 0) * weight, na.rm = TRUE)))
  }
  proportion_CRE |> 
    group_by(ward) |> 
    group_modify(~ ward_means(.x)) |> 
    ungroup() |> 
    left_join(x = x, y = _, "ward")
}

This function relies on the proportion_CRE data frame generated in the section Section 8.1.

10 K. pneumoniae

10.1 Preparing the data

Generating the presence/absence of K. pneumoniae (takes 2.5”):

K_pneumoniae_raw <- presence_abscence(MALDITOF, USUBJID, SampleSchedule,
                                      Identification_MALDITOF, "Klebsiella pneumoniae")

Which gives:

K_pneumoniae_raw
# A tibble: 1,038 × 5
   USUBJID     SampleSchedule genus        species    state
   <chr>       <chr>          <chr>        <chr>      <dbl>
 1 008-1-1-05  ADMISSION      Escherichia  coli           1
 2 008-1-1-05  DISCHARGE      Klebsiella   pneumoniae     2
 3 008-1-1-07  ADMISSION      Escherichia  coli           1
 4 008-1-1-07  DISCHARGE      Escherichia  coli           1
 5 008-1-1-08  ADMISSION      Escherichia  coli           1
 6 008-1-1-08  DISCHARGE      Escherichia  coli           1
 7 008-1-1-100 DISCHARGE      Enterobacter hormaechei     1
 8 008-1-1-14  ADMISSION      Escherichia  coli           1
 9 008-1-1-14  DISCHARGE      Kluyvera     georgiana      1
10 008-1-1-15  DISCHARGE      Escherichia  coli           1
# ℹ 1,028 more rows

Where 1 is absence and 2 is presence. Adding the samples with negative culture:

(K_pneumoniae_raw_a <- add_negatives(K_pneumoniae_raw, dates, USUBJID, SampleSchedule))
# A tibble: 4,000 × 6
   USUBJID    SampleSchedule value               genus       species    state
   <chr>      <chr>          <dttm>              <chr>       <chr>      <dbl>
 1 008-1-1-01 ADMISSION      2025-03-11 16:30:00 <NA>        <NA>           1
 2 008-1-1-01 DISCHARGE      2025-03-13 14:40:00 <NA>        <NA>           1
 3 008-1-1-02 ADMISSION      2025-03-12 10:00:00 <NA>        <NA>           1
 4 008-1-1-02 DISCHARGE      2025-03-14 10:00:00 <NA>        <NA>           1
 5 008-1-1-03 ADMISSION      2025-03-12 09:50:00 <NA>        <NA>           1
 6 008-1-1-03 DISCHARGE      2025-03-14 09:50:00 <NA>        <NA>           1
 7 008-1-1-04 ADMISSION      2025-03-12 13:45:00 <NA>        <NA>           1
 8 008-1-1-04 DISCHARGE      2025-03-13 14:55:00 <NA>        <NA>           1
 9 008-1-1-05 ADMISSION      2025-03-12 13:40:00 Escherichia coli           1
10 008-1-1-05 DISCHARGE      2025-03-28 17:00:00 Klebsiella  pneumoniae     2
# ℹ 3,990 more rows

Selecting the patients that have samples from at least 2 time points:

(K_pneumoniae <- select2time_points(K_pneumoniae_raw_a, USUBJID))
# A tibble: 3,808 × 6
   USUBJID    SampleSchedule value               genus       species    state
   <chr>      <chr>          <dttm>              <chr>       <chr>      <dbl>
 1 008-1-1-01 ADMISSION      2025-03-11 16:30:00 <NA>        <NA>           1
 2 008-1-1-01 DISCHARGE      2025-03-13 14:40:00 <NA>        <NA>           1
 3 008-1-1-02 ADMISSION      2025-03-12 10:00:00 <NA>        <NA>           1
 4 008-1-1-02 DISCHARGE      2025-03-14 10:00:00 <NA>        <NA>           1
 5 008-1-1-03 ADMISSION      2025-03-12 09:50:00 <NA>        <NA>           1
 6 008-1-1-03 DISCHARGE      2025-03-14 09:50:00 <NA>        <NA>           1
 7 008-1-1-04 ADMISSION      2025-03-12 13:45:00 <NA>        <NA>           1
 8 008-1-1-04 DISCHARGE      2025-03-13 14:55:00 <NA>        <NA>           1
 9 008-1-1-05 ADMISSION      2025-03-12 13:40:00 Escherichia coli           1
10 008-1-1-05 DISCHARGE      2025-03-28 17:00:00 Klebsiella  pneumoniae     2
# ℹ 3,798 more rows

Making the dataset for the multistate modelling:

(Kp_msm <- state_time(K_pneumoniae, dates, USUBJID,
                      ADMISSION, DISCHARGE, SampleSchedule))
# A tibble: 3,808 × 7
   USUBJID    SampleSchedule value               genus       species state  days
   <chr>      <chr>          <dttm>              <chr>       <chr>   <dbl> <dbl>
 1 008-1-1-01 ADMISSION      2025-03-11 16:30:00 <NA>        <NA>        1  0   
 2 008-1-1-01 DISCHARGE      2025-03-13 14:40:00 <NA>        <NA>        1  1.92
 3 008-1-1-02 ADMISSION      2025-03-12 10:00:00 <NA>        <NA>        1  0   
 4 008-1-1-02 DISCHARGE      2025-03-14 10:00:00 <NA>        <NA>        1  2   
 5 008-1-1-03 ADMISSION      2025-03-12 09:50:00 <NA>        <NA>        1  0   
 6 008-1-1-03 DISCHARGE      2025-03-14 09:50:00 <NA>        <NA>        1  2   
 7 008-1-1-04 ADMISSION      2025-03-12 13:45:00 <NA>        <NA>        1  0   
 8 008-1-1-04 DISCHARGE      2025-03-13 14:55:00 <NA>        <NA>        1  1.05
 9 008-1-1-05 ADMISSION      2025-03-12 13:40:00 Escherichia coli        1  0   
10 008-1-1-05 DISCHARGE      2025-03-28 17:00:00 Klebsiella  pneumo…     2 16.1 
# ℹ 3,798 more rows

Alternatively, we can do all at once with this function (takes 2.5”):

Kp_msm <- msm_data(MALDITOF, dates, USUBJID, SampleSchedule, Identification_MALDITOF,
                   "Klebsiella pneumoniae", ADMISSION, DISCHARGE)

which gives:

Kp_msm
# A tibble: 3,808 × 3
   USUBJID    state  days
   <chr>      <dbl> <dbl>
 1 008-1-1-01     1  0   
 2 008-1-1-01     1  1.92
 3 008-1-1-02     1  0   
 4 008-1-1-02     1  2   
 5 008-1-1-03     1  0   
 6 008-1-1-03     1  2   
 7 008-1-1-04     1  0   
 8 008-1-1-04     1  1.05
 9 008-1-1-05     1  0   
10 008-1-1-05     2 16.1 
# ℹ 3,798 more rows

Or, even simpler here (takes 2.5”):

Kp_msm <- msm_data2("Klebsiella pneumoniae")

Adding covariates:

(Kp_msm_cov <- Kp_msm |> 
   add_other_CRE_at_admission("Klebsiella pneumoniae") |> 
   add_ward() |> 
   add_CRE_prevalence_in_ward())
# A tibble: 3,808 × 8
   USUBJID    state  days otherCRE ward   estimate  lower upper
   <chr>      <dbl> <dbl> <lgl>    <chr>     <dbl>  <dbl> <dbl>
 1 008-1-1-01     1  0    FALSE    008100    0.231 0.0757 0.538
 2 008-1-1-01     1  1.92 FALSE    008100    0.231 0.0757 0.538
 3 008-1-1-02     1  0    FALSE    008100    0.231 0.0757 0.538
 4 008-1-1-02     1  2    FALSE    008100    0.231 0.0757 0.538
 5 008-1-1-03     1  0    FALSE    008100    0.231 0.0757 0.538
 6 008-1-1-03     1  2    FALSE    008100    0.231 0.0757 0.538
 7 008-1-1-04     1  0    FALSE    008100    0.231 0.0757 0.538
 8 008-1-1-04     1  1.05 FALSE    008100    0.231 0.0757 0.538
 9 008-1-1-05     1  0    TRUE     008100    0.231 0.0757 0.538
10 008-1-1-05     2 16.1  TRUE     008100    0.231 0.0757 0.538
# ℹ 3,798 more rows

10.2 Multi-state modelling

10.2.1 Basic operations

Defining the structure of the \(Q\) matrix:

Q <- rbind(c(0, 1),
           c(1, 0))

Initial values of the \(Q\) matrix:

(Q_crude <- crudeinits.msm(state ~ days, USUBJID, Q, Kp_msm))
            [,1]        [,2]
[1,] -0.01144174  0.01144174
[2,]  0.08458290 -0.08458290

Fitting a simple model without any covariate:

(Kp_msm_fit <- msm(state ~ days, USUBJID, Kp_msm, Q))

Call:
msm(formula = state ~ days, subject = USUBJID, data = Kp_msm,     qmatrix = Q)

Maximum likelihood estimates

Transition intensities
                  Baseline                    
State 1 - State 1 -0.01978 (-0.02565,-0.01525)
State 1 - State 2  0.01978 ( 0.01525, 0.02565)
State 2 - State 1  0.16116 ( 0.10848, 0.23944)
State 2 - State 2 -0.16116 (-0.23944,-0.10848)

-2 * log-likelihood:  890.9878 

Or we call simply do:

(Kp_msm_fit <- bsm(state ~ days, USUBJID, Kp_msm))

Call:
bsm(formula = state ~ days, subject = USUBJID, data = Kp_msm)

Maximum likelihood estimates

Transition intensities
                  Baseline                    
State 1 - State 1 -0.01978 (-0.02565,-0.01525)
State 1 - State 2  0.01978 ( 0.01525, 0.02565)
State 2 - State 1  0.16116 ( 0.10848, 0.23944)
State 2 - State 2 -0.16116 (-0.23944,-0.10848)

-2 * log-likelihood:  890.9878 

Estimated transition intensity \(Q\) matrix:

qmatrix.msm(Kp_msm_fit)
        State 1                      State 2                     
State 1 -0.01978 (-0.02565,-0.01525)  0.01978 ( 0.01525, 0.02565)
State 2  0.16116 ( 0.10848, 0.23944) -0.16116 (-0.23944,-0.10848)

Estimated transition probability \(P\) matrix per day:

pmatrix.msm(Kp_msm_fit)
          State 1    State 2
State 1 0.9819097 0.01809029
State 2 0.1474229 0.85257708

Estimated mean sojourn times in each transient state:

sojourn.msm(Kp_msm_fit)
        estimates       SE         L         U
State 1 50.565762 6.708416 38.987920 65.581756
State 2  6.204931 1.253325  4.176419  9.218705

Log-likelihood of the model:

logLik(Kp_msm_fit)
'log Lik.' -445.4939 (df=2)

10.2.2 Bootstrapped CIs

Bootstrapping \(Q\) estimates (1000 samples, takes 42” in parallel on 11 cores):

q_list <- boot.msm(Kp_msm_fit, function(x) qmatrix.msm(x)$estimates, 1000,
                   cores = nb_cores)

Reformating the output into an array of dimension 2, 2, and 1000 (i.e. 2 states and 1000 bootstrap samples):

q_array <- array(unlist(q_list), dim = c(2, 2, 1000))

Or we can simply do this instead of the above two successive command lines (takes 42” in parallel on 11 cores):

q_array <- boot_msm(Kp_msm_fit, qmatrix.msm, 1000, cores = nb_cores)

The bootstrap estimate of the standard deviation:

apply(q_array, 1:2, sd)
            [,1]        [,2]
[1,] 0.002848985 0.002848985
[2,] 0.038611786 0.038611786

Or, equivalently, in a formatted output:

boot_stat(q_array)
            State 1     State 2
State 1 0.002848985 0.002848985
State 2 0.038611786 0.038611786

And with the mean:

boot_stat(q_array, mean)
            State 1     State 2
State 1 -0.02000294  0.02000294
State 2  0.16525797 -0.16525797

Or the median:

boot_stat(q_array, median)
            State 1     State 2
State 1 -0.01976212  0.01976212
State 2  0.16131963 -0.16131963

The bootstrap estimate of the 95% confidence interval:

q_array |>
  apply(1:2, function(x) quantile(x, c(.025, .975))) |> 
  aperm(c(1, 3, 2))
, , 1

             [,1]       [,2]
2.5%  -0.02639242 0.01515261
97.5% -0.01515261 0.02639242

, , 2

           [,1]       [,2]
2.5%  0.1022118 -0.2533253
97.5% 0.2533253 -0.1022118

Or, equivalently, in a formatted output:

boot_ci(q_array)
, , State 1

          State 1    State 2
2.5%  -0.02639242 0.01515261
97.5% -0.01515261 0.02639242

, , State 2

        State 1    State 2
2.5%  0.1022118 -0.2533253
97.5% 0.2533253 -0.1022118

10.2.3 Covariates

(Kp_msm_cov_fit <- bsm(state ~ days, USUBJID, Kp_msm_cov,
                       covariates = list("1-2" = ~ otherCRE)))

Call:
bsm(formula = state ~ days, subject = USUBJID, data = Kp_msm_cov,     covariates = list(`1-2` = ~otherCRE))

Maximum likelihood estimates
Baselines are with covariates set to their means

Transition intensities with hazard ratios for each covariate
                  Baseline                     otherCRETRUE       
State 1 - State 1 -0.01976 (-0.02563,-0.01524)                    
State 1 - State 2  0.01976 ( 0.01524, 0.02563) 0.95 (0.5634,1.602)
State 2 - State 1  0.16105 ( 0.10843, 0.23922) 1.00               
State 2 - State 2 -0.16105 (-0.23922,-0.10843)                    

-2 * log-likelihood:  890.9503 
qmatrix.msm(Kp_msm_cov_fit, covariates=list(otherCRE = FALSE))
        State 1                      State 2                     
State 1 -0.01993 (-0.02611,-0.01522)  0.01993 ( 0.01522, 0.02611)
State 2  0.16105 ( 0.10843, 0.23922) -0.16105 (-0.23922,-0.10843)
qmatrix.msm(Kp_msm_cov_fit, covariates=list(otherCRE = TRUE))
        State 1                      State 2                     
State 1 -0.01993 (-0.02611,-0.01522)  0.01993 ( 0.01522, 0.02611)
State 2  0.16105 ( 0.10843, 0.23922) -0.16105 (-0.23922,-0.10843)
(Kp_msm_cov_fit <- bsm(state ~ days, USUBJID, Kp_msm_cov,
                       covariates = list("1-2" = ~ estimate)))

Call:
bsm(formula = state ~ days, subject = USUBJID, data = Kp_msm_cov,     covariates = list(`1-2` = ~estimate))

Maximum likelihood estimates
Baselines are with covariates set to their means

Transition intensities with hazard ratios for each covariate
                  Baseline                     estimate            
State 1 - State 1 -0.01978 (-0.02568,-0.01523)                     
State 1 - State 2  0.01978 ( 0.01523, 0.02568) 0.9597 (0.1223,7.53)
State 2 - State 1  0.16125 ( 0.10848, 0.23969) 1.0000              
State 2 - State 2 -0.16125 (-0.23969,-0.10848)                     

-2 * log-likelihood:  890.9862 

10.2.4 Diagnostics

plot.prevalence.msm(Kp_msm_fit, mintime = 0, maxtime = 15)
Figure 11: Model diagnostic plot.

11 Pipelines

11.1 The pipelines

A first pipeline without any covariate:

pipeline1 <- function(bacteria) {
  if (bacteria == "all") bacteria <- bugs
  bacteria |>
    msm_data2() |> 
    bsm(state ~ days, USUBJID, data = _) |> 
    bsm_estimations() |> 
    round(2)
}

Looking at the presence of other CRE at adminssion as a covariate:

pipeline2 <- function(bacteria) {
  if (bacteria == "all") bacteria <- bugs
  bacteria |>
    msm_data2() |> 
    add_other_CRE_at_admission(bacteria) |> 
    bsm(state ~ days, USUBJID, data = _, covariates = ~ otherCRE) |> 
    HR()
}

Pipeline 3:

pipeline3 <- function(bacteria) {
  if (bacteria == "all") bacteria <- bugs
  bacteria |>
    msm_data2() |> 
    add_ward() |> 
    add_CRE_prevalence_in_ward() |> 
    bsm(state ~ days, USUBJID, data = _, covariates = ~ estimate) |> 
    HR()
}

Pipeline 4:

pipeline4 <- function(bacteria) {
  if (bacteria == "all") bacteria <- bugs
  bacteria |>
    msm_data2() |> 
    add_ward() |> 
    add_CRE_prevalence_in_ward() |> 
    bsm(state ~ days, USUBJID, data = _, covariates = ~ lower) |> 
    HR()
}

Pipeline 5:

pipeline5 <- function(bacteria) {
  if (bacteria == "all") bacteria <- bugs
  bacteria |>
    msm_data2() |> 
    add_ward() |> 
    add_CRE_prevalence_in_ward() |> 
    bsm(state ~ days, USUBJID, data = _, covariates = ~ upper) |> 
    HR()
}

11.2 Running pipelines

Let’s estimate the colonization and clearance rates for several different sets of bacteria:

bacteria_sets <- c("all", "Escherichia coli", "Klebsiella pneumoniae",
                   "Enterobacter hormaechei")

Estimates without any covariates (takes 10”):

pipeline1_results <- bacteria_sets |>
  set_names() |> 
  map(pipeline1)

which gives:

pipeline1_results
$all
             estimate lower upper
colonization     9.73  8.54 11.10
clearance       10.09  8.06 12.63

$`Escherichia coli`
             estimate lower upper
colonization     6.14  5.35  7.05
clearance        9.10  7.23 11.44

$`Klebsiella pneumoniae`
             estimate lower upper
colonization     1.98  1.52  2.56
clearance       16.12 10.85 23.94

$`Enterobacter hormaechei`
             estimate lower  upper
colonization     2.42  0.92   6.36
clearance       76.11 26.64 217.46

Testing the significativity of the presence of other CRE at admission as a covariate (takes 10”):

pipeline2_results <- bacteria_sets |>
  set_names() |> 
  map(pipeline2)

which gives:

pipeline2_results
$all
$all$otherCRETRUE
                  HR
State 1 - State 2  1
State 2 - State 1  1


$`Escherichia coli`
$`Escherichia coli`$otherCRETRUE
                         HR         L        U
State 1 - State 2 0.6458159 0.3147516 1.325102
State 2 - State 1 0.4730710 0.1951850 1.146585


$`Klebsiella pneumoniae`
$`Klebsiella pneumoniae`$otherCRETRUE
                         HR         L        U
State 1 - State 2 0.9110862 0.4757068 1.744936
State 2 - State 1 0.9151855 0.3995370 2.096338


$`Enterobacter hormaechei`
$`Enterobacter hormaechei`$otherCRETRUE
                        HR         L        U
State 1 - State 2 3.360957 0.2204102 51.25004
State 2 - State 1 3.964334 0.2635278 59.63676

(takes 10”)

pipeline3_results <- bacteria_sets |>
  set_names() |> 
  map(pipeline3)

which gives:

pipeline3_results
$all
$all$estimate
                         HR          L        U
State 1 - State 2 2.0674313 0.53893895 7.930902
State 2 - State 1 0.2933742 0.03424017 2.513669


$`Escherichia coli`
$`Escherichia coli`$estimate
                         HR          L        U
State 1 - State 2 1.1283065 0.25865181 4.921967
State 2 - State 1 0.2915283 0.03355494 2.532824


$`Klebsiella pneumoniae`
$`Klebsiella pneumoniae`$estimate
                          HR           L        U
State 1 - State 2 0.22660676 0.015606843 3.290263
State 2 - State 1 0.04176564 0.001096988 1.590144


$`Enterobacter hormaechei`
$`Enterobacter hormaechei`$estimate
                           HR            L         U
State 1 - State 2 0.060099413 6.153152e-08 58700.639
State 2 - State 1 0.007279521 8.506564e-09  6229.476

(takes 10”)

pipeline4_results <- bacteria_sets |>
  set_names() |> 
  map(pipeline4)

which gives:

pipeline4_results
$all
$all$lower
                           HR            L         U
State 1 - State 2 1.162162199 1.614677e-02 83.646526
State 2 - State 1 0.003858536 4.587443e-06  3.245446


$`Escherichia coli`
$`Escherichia coli`$lower
                           HR            L        U
State 1 - State 2 0.052651043 4.744167e-04 5.843244
State 2 - State 1 0.003802618 3.049806e-06 4.741252


$`Klebsiella pneumoniae`
$`Klebsiella pneumoniae`$lower
                            HR            L         U
State 1 - State 2 0.1272535347 4.829850e-05 335.27876
State 2 - State 1 0.0004029038 1.074142e-08  15.11266


$`Enterobacter hormaechei`
$`Enterobacter hormaechei`$lower
                            HR            L            U
State 1 - State 2 5.031146e-08 1.243504e-22 2.035573e+07
State 2 - State 1 2.435290e-13 3.273873e-28 1.811506e+02

(takes 10”)

pipeline5_results <- bacteria_sets |>
  set_names() |> 
  map(pipeline5)

which gives:

pipeline5_results
$all
$all$upper
                         HR          L        U
State 1 - State 2 2.5665495 0.86330360 7.630197
State 2 - State 1 0.2206895 0.03858718 1.262177


$`Escherichia coli`
$`Escherichia coli`$upper
                         HR          L        U
State 1 - State 2 1.7425888 0.54849055 5.536314
State 2 - State 1 0.2831742 0.04920081 1.629803


$`Klebsiella pneumoniae`
$`Klebsiella pneumoniae`$upper
                          HR           L         U
State 1 - State 2 0.72878098 0.081375047 6.5268376
State 2 - State 1 0.02277722 0.001089422 0.4762178


$`Enterobacter hormaechei`
$`Enterobacter hormaechei`$upper
                        HR        L        U
State 1 - State 2 1119.746 12.48434 100432.4
State 2 - State 1 2739.253 17.33253 432914.8

12 Hierarchical model

Loading rstan:

library(rstan)
Loading required package: StanHeaders

rstan version 2.32.7 (Stan version 2.32.2)
For execution on a local, multicore CPU with excess RAM we recommend calling
options(mc.cores = parallel::detectCores()).
To avoid recompilation of unchanged Stan programs, we recommend calling
rstan_options(auto_write = TRUE)
For within-chain threading using `reduce_sum()` or `map_rect()` Stan functions,
change `threads_per_chain` option:
rstan_options(threads_per_chain = 1)

Attaching package: 'rstan'
The following object is masked from 'package:tidyr':

    extract
The following object is masked from 'package:magrittr':

    extract
rstan_options(auto_write = TRUE)
options(mc.cores = parallel::detectCores())

Generating the province, hospital and ward data:

provinces <- setNames(rep(c("Dong Thap", "Phu Tho"), each = 6),
                      c("010", "008", "071", "073",
                        160, 161, 130, 155, 156, 157, 158, 159))

prov_hosp_ward <- CRF$ADM |> 
  mutate(across(starts_with("WARD"), as.numeric),
         ward = paste0(SITEID, WARD_1, WARD_2, WARD_3)) |> 
  arrange(SITEID) |> 
  select(USUBJID, SITEID, ward) |> 
  rename(hosp = SITEID) |> 
  mutate(prov = provinces[hosp])

Preparing the data for K. pneumoniae:

tmp <- Kp_msm |> 
  mutate(SampleSchedule = ifelse(days == 0, "admission", "discharge"))

durations <- tmp |>
  pivot_wider(id_cols = -state, names_from = SampleSchedule, values_from = days) |> 
  select(-admission) |> 
  rename(days = discharge)

adj_obs <- tmp |> 
  pivot_wider(id_cols = -days, names_from = SampleSchedule, values_from = state) |> 
  left_join(durations, "USUBJID") |> 
  left_join(prov_hosp_ward, "USUBJID") |> 
  select(USUBJID, prov, hosp, ward, admission, discharge, days)
#stan_data